用铸铁平板测工件尺寸和形位误差
2018-03-16
铸铁平板,检测平板
建新铸造
铸铁平板测工件尺寸和形位误差,铸铁平板,检测平板

图7一35所示零件,要求测量尺寸L首先确定辅助j基准面A,再用指示器测量。量时分别研合量块组尺寸L与(L+I),把量
块组和被测件一起放在铸铁平板上,用杠打式指示器在I和II位置测出(L+D)值,在和位置测出值,最后得出的实际值。

图7一36为在检测平板上用钢球法测量孔径D。四个钢球直径是相等的,三个钢球均匀地放在被测孔内,第四个钢球放在二个钢球的上方中心,用手轻压并转动上面的钢球,使各球均匀接触和稳定,按图示方法泖出尺寸H。
四个钢球直径等于则被测孔径D:

图7一37为指示器法测量面对面平行度,检验平板工作面既是模拟基准又是测量基准,指示器在平板工作面上移动时,其测头所
形成的轨迹就是平行于模拟基准的被测面的理想平而,指示器示值的最大变动量即为平行度误差。
图7一38所示是用指示器测量轴线对基准平面的平行度误差的方法,基准平面由检测平板体现,被测轴线山心轴体现,则平行度误差可由指示器读数AI、和尺寸L、I求得,即.
图7一39要求被测孔的轴线位于距离为公差值',且垂直于基准 轴线的两平行平面内。测量时,基准轴线和被测轴线都用心轴模 拟。用固定和可调支承调整基准轴线与铸铁平板垂直。在心轴L2两端测量,得数值M1,M2,则垂直度误差为:
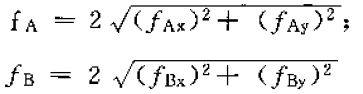
图7一40为测量零件孔对孔同轴度的例于。被测孔和基准孔都 用心轴模拟。测量时,先调整基准轴线与平板平行,然后在被测孔 两端A、B进行测量,求出该两点分别与高度(L+d2/2)的差值fAx和fBx再将零件翻转90度,取其中较大值为该零件的同轴度误差。
图7一41为测量零件中心平面对基准中心平面的对称度℃测量 方法是:
1 将基准表面一侧放在平板上,测出a,b点与平板之间的距离;
2将零件翻转180度后,测量另一被测表面上a',b'点与平板 之间的距离;
3 比较a点与a'点的高度差,b点与b'点的高度差,取其中较 大的差值为该零件的对称度误差。